我室夏海平、吕鑫和朱军教授在 Angewandte 上发表论文:Synthesis and Characterization of a Metallacyclic Framework with Three Fused Five-membered Rings.
文章链接:http://onlinelibrary.wiley.com/doi/10.1002/anie.201704057/abstract
摘要:
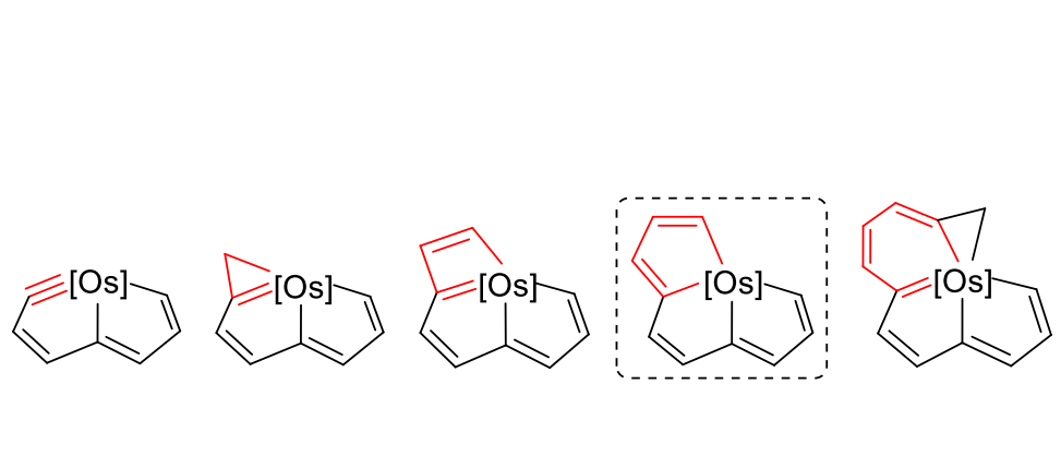
Polycyclic complexes containing a bridgehead transition metal are interesting species because the transition metal is shared by all the rings simultaneously. In this study, we present a novel osmium-bridgehead system with three fused five-membered rings. This novel framework can be viewed as a 10-atom carbon chain coordinating to the osmium center. In sharp contrast to the nonplanar organic analogue, this unique metallacycle exhibits good planarity which was unambiguously verified by means of X-ray diffraction. Interestingly, preliminary DFT calculations show that the aromaticity in the three 5MRs of these osmatricycles can be easily tuned by the ligand substitution. Finally, the broad UV-vis absorption spectra of these novel polycyclic complexes were also reported.
