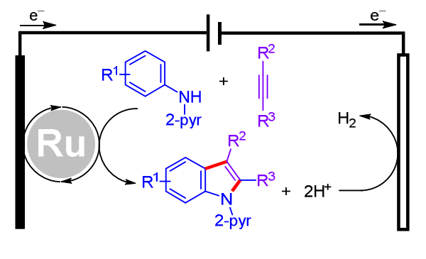
我室徐海超教授在 ACS Catalyst 上发表论文:Ruthenium-Catalyzed Electrochemical Dehydrogenative Alkyne Annulation
文章链接:https://pubs.acs.org/doi/10.1021/acscatal.8b00373
摘要:
A ruthenium-catalyzed electrochemical dehydrogenative annulation reaction of aniline derivatives and alkynes has been developed for the synthesis of indoles. Electric current is used to recycle the active ruthenium-based catalyst and promote H₂ evolution. The electrolysis reaction is operationally convenient as it employs a simple undivided cell, proceeds efficiently in an aqueous solution, and is insensitive to air.
